Κορονοϊός: 6.150 νέα κρούσματα, 431 οι διασωληνωμένοι και 49 οι νέοι καταγεγραμμένοι θάνατοι
Ο ΕΟΔΥ ανακοίνωσε σήμερα (3/11) 6.150 νέα κρούσματα κορονοϊού και 431 διασωληνωμένους.
Οι νέοι καταγεγραμμένοι θάνατοι λόγω της covid-19 είναι 49.
Η ανακοίνωση του ΕΟΔΥ
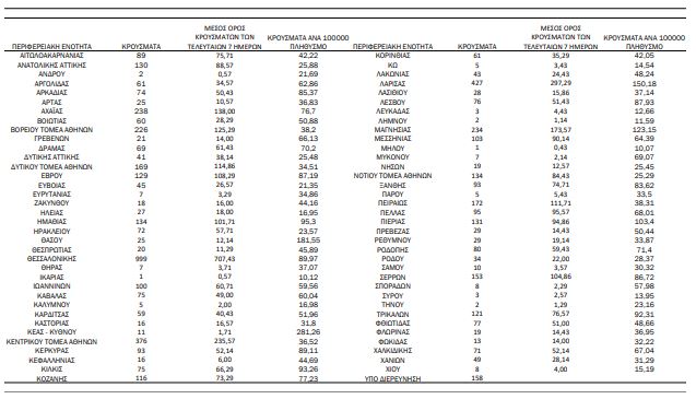
Τα νέα εργαστηριακά επιβεβαιωμένα κρούσματα της νόσου που καταγράφηκαν τις τελευταίες 24 ώρες είναι 6.150, εκ των οποίων 8 εντοπίστηκαν κατόπιν ελέγχων στις πύλες εισόδου της χώρας. Ο συνολικός αριθμός των κρουσμάτων ανέρχεται σε 760.592 (ημερήσια μεταβολή +0.8%), εκ των οποίων 50.8% άνδρες.
Με βάση τα επιβεβαιωμένα κρούσματα των τελευταίων 7 ημερών, 148 θεωρούνται σχετιζόμενα με ταξίδι από το εξωτερικό και 2.556 είναι σχετιζόμενα με ήδη γνωστό κρούσμα. To Rt για την επικράτεια βάσει των κρουσμάτων εκτιμάται σε 1.12 (95% ΔΕ: 1.05 – 1.18).
Οι νέοι θάνατοι ασθενών με COVID-19 είναι 49, ενώ από την έναρξη της επιδημίας έχουν καταγραφεί συνολικά 16.109 θάνατοι. 2 Το 95.4% είχε υποκείμενο νόσημα ή/και ηλικία 70 ετών και άνω.
Ο αριθμός των ασθενών που νοσηλεύονται διασωληνωμένοι είναι 431 (59.9% άνδρες). Η διάμεση ηλικία τους είναι 64 έτη. To 80.3% έχει υποκείμενο νόσημα ή/και ηλικία 70 ετών και άνω. Μεταξύ των ασθενών που νοσηλεύονται διασωληνωμένοι, 363 (84.22%) είναι ανεμβολίαστοι ή μερικώς εμβολιασμένοι και 68 (15.78%) είναι πλήρως εμβολιασμένοι. Από την αρχή της πανδημίας έχουν εξέλθει από τις ΜΕΘ 3.328 ασθενείς.
Οι εισαγωγές νέων ασθενών Covid-19 στα νοσοκομεία της επικράτειας είναι 343 (ημερήσια μεταβολή +6.85%). Ο μέσος όρος εισαγωγών του επταημέρου είναι 300 ασθενείς. Η διάμεση ηλικία των κρουσμάτων είναι 38 έτη (εύρος 0.2 έως 106 έτη), ενώ η διάμεση ηλικία των θανόντων είναι 78 έτη (εύρος 0.2 έως 106 έτη).
