Ανακοινώθηκαν 15.498 κρούσματα κορονοϊού

Newsroom
Ανακοινώθηκαν 15.498 κρούσματα κορονοϊού
Στη δημοσιότητα έδωσε ο ΕΟΔΥ τα στοιχεία για την εξέλιξη της πανδημίας του κορονοϊού το τελευταίο εικοσιτετράωρο στη χώρα μας.

Ο ΕΟΔΥ ανακοίνωσε σήμερα (30/6) 15.498 νέα κρούσματα κορονοϊού και 97 διασωληνωμένους.

Οι νέοι καταγεγραμμένοι θάνατοι λόγω της covid-19 είναι 13.

H ανακοίνωση του ΕΟΔΥ

Τα νέα εργαστηριακά επιβεβαιωμένα κρούσματα της νόσου (άτομα) που καταγράφηκαν τις τελευταίες 24 ώρες ήταν 15.498. Ο συνολικός αριθμός των ατόμων που νόσησαν ανέρχεται σε 3.676.502 (ημερήσια μεταβολή +0.4%), εκ των οποίων 48.6% άνδρες.

Ο αριθμός πιθανών νέων επαναλοιμώξεων που καταγράφηκαν τις τελευταίες 24 ώρες ήταν 2.984 ενώ από την αρχή της πανδημίας SARS-CoV-2 ο συνολικός αριθμός εκτιμάται σε 171.424(4.5% του συνολικού αριθμού των θετικών αποτελεσμάτων).

 

Ο αριθμός των ασθενών που νοσηλεύονται διασωληνωμένοι είναι 97 (58.8% άνδρες). Η διάμεση ηλικία τους είναι 70 έτη. To 91.8% έχει υποκείμενο νόσημα ή/και ηλικία 70 ετών και άνω. Μεταξύ των ασθενών που νοσηλεύονται διασωληνωμένοι, 40 (41.24%) είναι ανεμβολίαστοι ή μερικώς εμβολιασμένοι και 57 (58.76%) είναι πλήρως εμβολιασμένοι. Από την αρχή της πανδημίας έχουν εξέλθει από τις ΜΕΘ 4.729 ασθενείς.

Οι εισαγωγές νέων ασθενών COVID-19 στα νοσοκομεία της επικράτειας είναι 323 (ημερήσια μεταβολή +24.23%). Ο μέσος όρος εισαγωγών του επταημέρου είναι 240 ασθενείς. Η διάμεση ηλικία των κρουσμάτων είναι 37 έτη (εύρος 0.2 έως 112 έτη), ενώ η διάμεση ηλικία των θανόντων είναι 80 έτη (εύρος 0.2 έως 106 έτη).

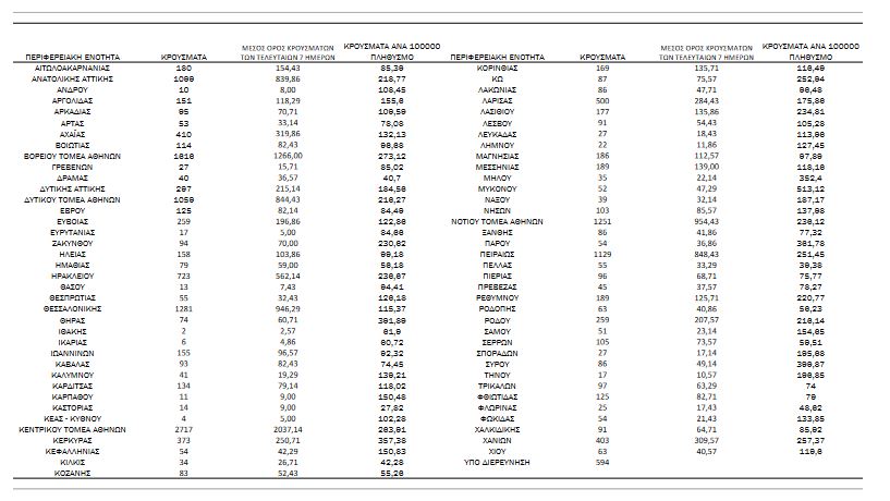
Ο χάρτης της διασποράς

Διασπορά