Μελέτη Τσιόδρα και Λύτρα για τις ΜΕΘ στην Ελλάδα: «Χάνουμε ασθενείς που αναμένεται να ζούσαν αν νοσηλεύονταν υπό άλλες συνθήκες»
Ο καθηγητής Παθολογίας-Λοιμωξιολογίας της Ιατρικής Σχολής Αθηνών, κ. Σωτήρης Τσιόδρας και ο αναπληρωτής καθηγητής Επιδημιολογίας στο Ευρωπαϊκό Πανεπιστήμιο Κύπρου, κ. Θεόδωρος Λύτρας, εκπόνησαν μελέτη που αναδεικνύει τη συσχέτιση μεταξύ του αριθμού των ασθενών που νοσηλεύονται σε ΜΕΘ covid στη χώρα μας και της θνητότητας τους.
Η έρευνα δημοσιεύθηκε στο Scandinavian Journal of Public Health.
Άρθρο μας με @STsiodras στο @JournalSjph για θνητότητα 🇬🇷 διασωληνωμένων #COVID19 ασθενών σε σχέση με το φόρτο του συστήματος υγείας, ως αρχές Μαϊου 2020.https://t.co/XcRrXbxhRO
— Theodore Lytras (@TheodoreLytras) December 14, 2021
Αναδεικνύει τις χαμηλές "αντοχές" του ΕΣΥ, που δεν αφορούν μόνο τη διαθεσιμότητα ΜΕΘ. *Thread*
Τι αναφέρει η έρευνα
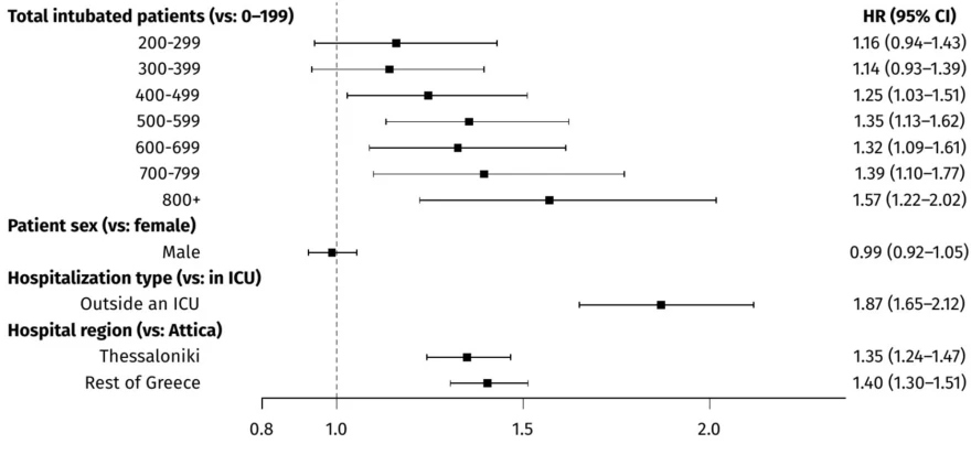
Οι επιστήμονες κατέγραψαν τις νοσηλείες ασθενών με λοίμωξη covid-19 στις ΜΕΘ αλλά κι εκτός ΜΕΘ, στις περιπτώσεις διασωληνωμένων, από τον Σεπτέμβριο του 2020 μέχρι τον Μάιο του 2021 και ανέλυσαν τις πιθανότητες θανάτων των ασθενών σε σχέση με το φόρτο του συστήματος υγείας.

Σύμφωνα με τη μελέτη, η θνητότητα των διασωληνωμένων ασθενών με Covid-19 αυξάνεται από 25% έως 57% ανάλογα με την πληρότητα των ΜΕΘ. Το ποσοστό εξαρτάται και από το αν οι ασθενείς βρίσκονται διασωληνωμένοι εντός ή εκτός Μονάδας. Τουλάχιστον 1.500 ασθενείς λόγω κορονοϊού θα μπορούσαν να έχουν εξέλθει από τα νοσοκομεία κατά το διάστημα των 8 μηνών που αφορά η μελέτη.
Κατ'αρχήν το πλήρες άρθρο (μη σελιδοποιημένο - as accepted) είναι προσβάσιμο και στο ιδρυματικό αποθετήριο του @EuropeanUniCy "Πλημοχόη" (κλικ "εμφάνιση πλήρους εγγραφής" και scroll down).https://t.co/mHlNFu8po5
— Theodore Lytras (@TheodoreLytras) December 14, 2021
Αυτό για όσους δεν έχουν πρόσβαση στο περιοδικό.
«Τα δεδομένα δείχνουν πως το ΕΣΥ αδυνατεί να ανταποκριθεί στον φόρτο: με πάνω από 400 διασωληνωμένους, χάνουμε ασθενείς που αναμένεται να ζούσαν αν νοσηλεύονταν υπό άλλες συνθήκες. Επιπλέον έχουμε κραυγαλέα και απαράδεκτη «υγειονομική ανισότητα» μεταξύ Αττικής και υπόλοιπης Ελλάδας» αναφέρει σε ανάρτησή του στο Twitter ο κ. Λύτρας και συνεχίζει:
«Aπό τους 3.988 θανάτους διασωληνωμένων που αναλύθηκαν, οι 1.535 (95%CI: 1053–1947) αποδίδονται αθροιστικά στους 3 αυτούς παράγοντες. Δηλαδή εκτιμάται πως τόσοι θα γλίτωναν αν όλοι νοσηλεύονταν 1. με χαμηλό φόρτο στο ΕΣΥ (έως και 200 διασωληνωμένους), 2. σε νοσοκομεία Αττικής, και 3. εντός ΜΕΘ».
Το αν ενισχύθηκε το ΕΣΥ🇬🇷 ή όχι, κι αν αυτό είναι αρκετό, δε θα το πω εγώ. Ας μιλήσουν οι συνάδελφοι που δουλεύουν σ'αυτό, οι ασθενείς που το ζούνε, και οι δημοσιογράφοι, που οφείλουν να κάνουν αντικειμενικό ρεπορτάζ από το πεδίο.
— Theodore Lytras (@TheodoreLytras) December 14, 2021
Εγώ δείχνω τι λένε τα επιδημιολογικά δεδομένα.
«Με άλλα λόγια, το αν θα επιβιώσεις της διασωλήνωσης φαίνεται πως εξαρτάται από το πού ζεις, και σε ποιά περίοδο (με τι φόρτο στο ΕΣΥ) έτυχε να αρρωστήσεις. Το αν αυτό είναι αποδεκτό, ας το κρίνει ο κάθε πολίτης κ ας βγάλει τα όποια συμπεράσματα. (1) Η ανάλυση αυτή έγινε τέλος Μαϊου, κι ως οφείλαμε σαν λειτουργοί της Δημόσιας Υγείας τη γνωστοποιήσαμε άμεσα κ επανειλημμένα σε όλους όσους λαμβάνουν τις αποφάσεις στο "ανώτατο" επίπεδο. Τώρα, μετά από το peer review, έφτασε η ώρα της δημοσίευσης για να τη διαβάσουν όλοι. (2) Εφ'όσον εξακολουθούμε να έχουμε πρόσβαση στα σχετικά στοιχεία, είναι αυτονόητο πως η ανάλυση θα επαναληφθεί/επικαιροποιηθεί στο μέλλον, ώστε να δούμε πως ανταπεξέρχεται το σύστημα υγείας και στο τρέχον πανδημικό κύμα. Και (3) η (εξαιρετική) ιδέα γι' αυτή την ανάλυση δεν ήταν δική μου αλλά του @STsiodras · εγώ βοήθησα με την υλοποίηση. Αυτό το τονίζω για τους κακεντρεχείς που δεν εννοούν να καταλάβουν οτι ο @STsiodras κι εγω είμαστε ΜΟΝΟ επιστήμονες, με "αποκλειστικό" μέλημα τη Δημόσια Υγεία», καταλήγει.
Με άλλα λόγια, το αν θα επιβιώσεις της διασωλήνωσης φαίνεται πως εξαρτάται από το που ζεις, και σε ποιά περίοδο (με τι φόρτο στο ΕΣΥ) έτυχε να αρρωστήσεις.
— Theodore Lytras (@TheodoreLytras) December 14, 2021
Το αν αυτό είναι αποδεκτό, ας το κρίνει ο κάθε πολίτης κ ας βγάλει τα όποια συμπεράσματα.
Μερικές σημαντικές επισημάνσεις: